当前位置: 首页 > 行业资讯 > 行业动态
行业资讯

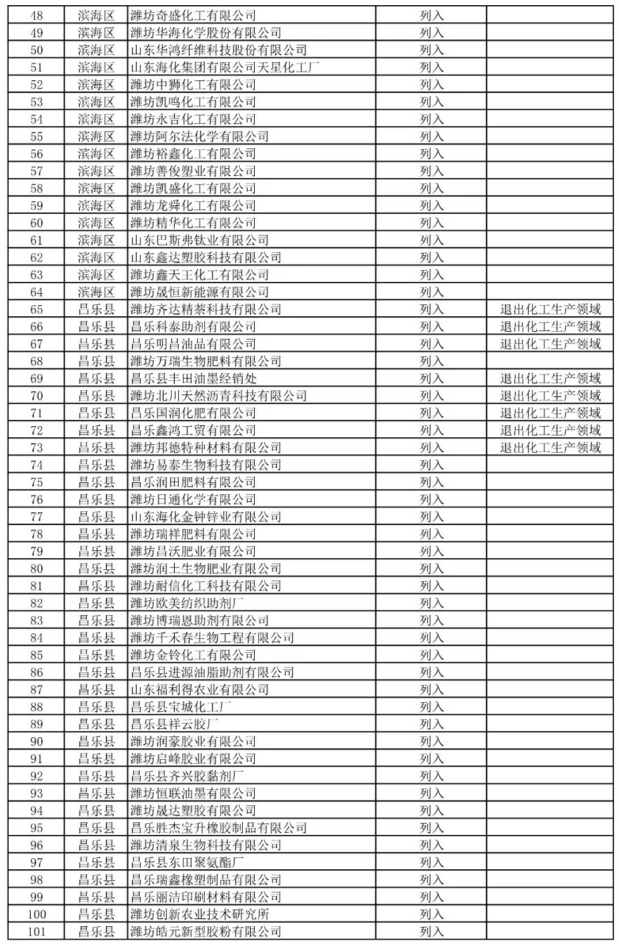
山东40多家肥料企业被列入关闭退出确认名单

2020-08-12访问次数:1127编辑:中国磷复肥网来源: [ ]
     日前,山东省潍坊市工业和信息化局发布了《关于潍坊市第二批关闭退出化工生产企业确认名单的公示》。名单中包括474家化工企业其中包括40余家化肥企业